近日,哔咔漫画 陈文青教授团队在Cell Press出版社期刊Current Biology发表了题为“Number of global change factors alters the relative roles of abundant and rare microbes in driving soil multifunctionality resistance”的研究论文。哔咔漫画 为第一完成单位,陈文青教授为论文第一作者兼通讯作者。
全球变化因子(Global change factors,GCFs),如增温、氮沉降、盐碱化和环境污染等,对陆地生态系统的结构和功能产生了深远影响。生物多样性可以缓冲生态系统的功能以对抗环境变化。然而,土壤微生物多样性,特别是丰富和稀有微生物类群在不同GCFs数量干扰条件下对土壤多功能抗性的调控作用尚缺乏深入研究。

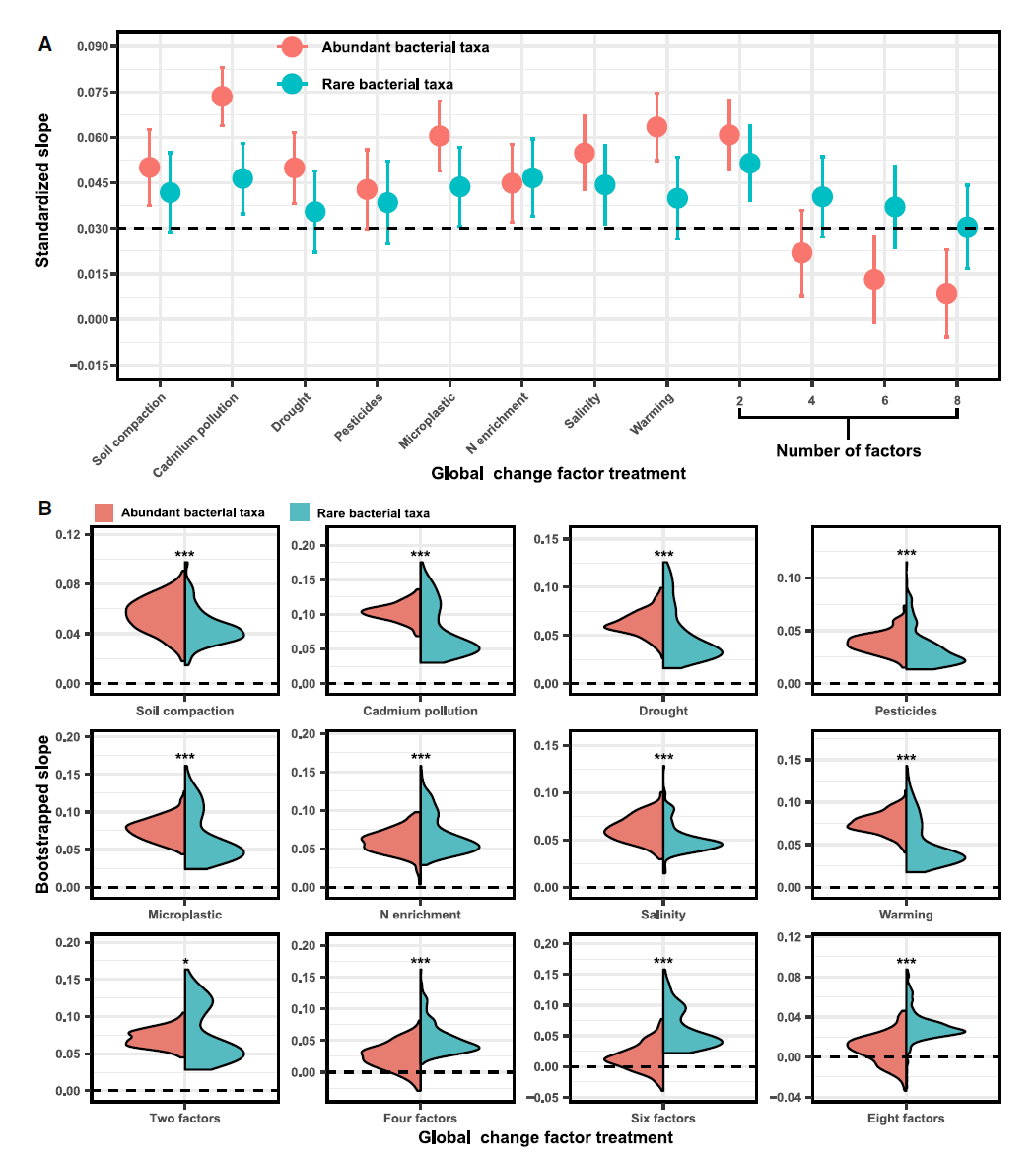
图1 丰富和稀有微生物类群多样性对土壤多功能抗性的影响
针对上述问题,研究团队通过室内微宇宙试验控制微生物多样性同时模拟多种GCFs干扰因子,探究了不同GCFs数量干扰下土壤多功能抗性的变化及丰富和稀有微生物的作用。结果表明:(1)随着GCFs数量的增加,丰富和稀有微生物类群多样性对土壤多功能抗性的作用均降低,同时其相对重要性也发生改变。(2)在少数GCFs数量(少于2个因子)干扰条件下,丰富微生物类群是驱动土壤多功能抗性的关键因素,但随着GCFs数量的增加(大于4个因子),稀有微生物类群对土壤多功能抗性的影响变得更显著。(3)在较多GCFs数量干扰下,稀有微生物类群相对于丰富类群,因具有更多的遗传多样性使得该类群对多因子干扰体现出更好的环境适应性,从而导致丰富和稀有微生物类群对土壤功能抗性调控作用相对重要性的转变。

图2 丰富和稀有微生物类群多样性对土壤多功能抗性的调控机制
本研究揭示了在多个GCFs干扰的背景下,土壤多功能抗性的变化动态及丰富和稀有微生物类群的不同作用,强调了在应对多重全球变化因子时稀有微生物类群的重要性,为土壤生态系统的恢复与管理提供了科学依据。
该研究得到国家自然科学基金资助项目(32271778)和国家林业和草原局科技创新青年拔尖人才专项项目(2020132614)资助。
论文链接://www.cell.com/current-biology/fulltext/S0960-9822(24)01581-1
版权所有:哔咔漫画-哔咔漫画app官方版